
農俠會:三農領域產業社群(資源對接、案例分享、線上課程、線下活動)
摘要:作為經濟中的基礎性產業,農業的可持續增長已引起全球研究人員和政策制定者的高度關注。數字化改革與信息技術對農業、農村及農民產生了重大影響,促進了農業領域的高質量發展和綠色增長。本文基于數字化衡量指標與綠色生產率指標,探討了互聯網發展對中國農業經濟績效與環境績效的影響。實證結果表明,中國省級農業呈現出顯著的綠色增長態勢,這一增長主要由技術進步驅動。互聯網普及與數字技術確實推動了農業的可持續發展。此外,本文還提出了相應的政策啟示,旨在為中國農業的穩定增長開辟新路徑。
農業是國家經濟發展的基石。作為評估農業發展的主要指標,全要素生產率(TFP)一直是研究人員衡量農業發展的關鍵指標(Sheng等人,2020;Wang等人,2019)。自1978年改革開放以來,中國農業開始實施家庭聯產承包責任制(HCRS)。家庭農場經營激發了農民的生產熱情,解放了農村生產力,中國農業實現了快速發展。2012年,中國糧食總產量達到6億噸,是1978年的兩倍。從2015年到2020年,糧食產量連續六年超過6500萬噸(國家統計局,CNBS)。過去40年,中國實際農業產值年均增長約5.3%,是1952年至1978年期間增長率的兩倍多(Huang和Rozelle,2018)。中國農業用僅占世界10%的耕地養活了占世界22%的人口(Chen等人,2021)。
由于經濟發展水平、自然條件、制度等差異,不同國家的農業結構和生產模式各不相同。美國、法國和日本等發達國家的農業以工業化管理、機械化生產為主要特征。相比之下,中國農業生產主要采用家庭聯產承包責任制,農場大多規模小且分散,土地和家庭勞動力仍是主要投入要素。此外,中國地域遼闊,南北跨度約50度,不同地區的氣候、土壤甚至制度存在明顯差異(Chen等人,2009)。
提高農業產量和收入一直是中國政府關注的重點。多年來,中國農業增長依賴投入增加(Su等人,2020),導致資源浪費和環境污染(Khanal等人,2021)。農業生產中廣泛使用化肥、農藥和化石燃料,造成碳排放(Chen等人,2021)和農業面源污染(ANSP)(Liu等人,2021)。根據第二次全國污染源普查公報,2017年農業水污染物排放量占總污染量的很大比例,其中化學需氧量(COD)占49.77%,總氮占46.52%,總磷占67.21%(國家統計局,CNBS)。在化學需氧量排放方面,農業甚至超過了工業部門,成為化學需氧量排放的最大來源。根據中國環境與發展國際合作委員會的數據,農業部門的溫室氣體排放量占總體排放量的近17%。農業的快速發展已成為碳排放增加的原因之一。
中國經濟正從高速增長轉向高質量發展。中國正在改變發展方式,優化經濟結構。農業發展也需要從數量擴張轉向質量提升,更加注重資源節約和環境保護,發展綠色農業。綠色農業是實施可持續發展農業發展議程的核心(Fang等人,2021)。
中國中央一號文件已連續17年聚焦農業問題,反復強調資源節約、環境保護和高質量發展的重要性。然而,由于上述問題,綠色農業增長必須應對生產力和環境績效的雙重挑戰。在當前情況下,提高綠色農業生產力(GAP)是促進綠色農業發展的最有效方式(Chen等人,2021;Liu等人,2020)。當今中國社會的主要矛盾已從社會生產力落后導致人民群眾物質文化需求增長,轉變為發展不平衡不充分導致的對美好生活的向往。恩格爾系數的下降也意味著消費者對農產品的需求不再僅僅是獲取足夠的食物,而是更多地追求高品質產品。綠色有機農產品更受歡迎?,F階段,綠色農業、數字農業和智能農業正得到大力推廣。
偏遠山區農民因信息與交通受阻,難以進入市場、獲取收入,這也限制了他們學習和運用現代農業生產技術或設備。幸運的是,農村地區互聯網與通信技術的發展改善了這一狀況(Ogutu等人,2014)。近年來,中國互聯網的發展與應用勢不可擋。根據《第48次中國互聯網發展統計報告》的數據顯示,截至2021年6月,中國互聯網用戶已超過10億,互聯網普及率超過71.6%(中國互聯網絡信息中心)。中國網民數量位居世界第一?;ヂ摼W發展通過將互聯網信息、通信技術與互聯網平臺與其他行業相結合,創造了新的產業生態,從而帶來了變化。過去幾年,中國持續加大對農業研究的投入,利用互聯網、物聯網(IoT)、云計算和區塊鏈等新興技術推動農業發展革新(朱和李,2021)。互聯網和數字技術的使用對農業增長產生了積極影響。一些研究發現,互聯網和通信技術提高了綠色農業生產力(Benyam等人,2021;Lioutas等人,2021)。
綜上所述,在農業生產迫切需要兼顧生產力和環境績效,以及互聯網迅速發展的背景下,本文采用改進的副產品模型來衡量綠色農業生產力(GAP)。并在機制分析的基礎上,探討了互聯網發展水平對農業綠色增長的作用。本文的創新之處在于考察了中國農業部門綠色生產力增長及其與互聯網發展的關系。文章結構如下:第二節回顧了有關農業生產力與互聯網發展效應的研究;第三節分析了互聯網對綠色農業生產力的影響機制;第四節為模型構建部分;第五節描述了數據,并展示了實證結果,包括基本模型、中介效應、門檻回歸結果和穩健性檢驗;最后一節給出了結論和政策建議。
文獻回顧
01、綠色農業生產力的測度
全要素生產率(Total Factor Productivity, TFP)的測算一直是農業經濟學研究中的一個關鍵領域,因為它能估算出農業生產過程中發生的變化程度(Balezentis等人,2021)。根據不同的模型設定和變量選擇,得出的結論也有所不同。許多早期研究在計算農業TFP時很少考慮環境因素(Chen等人,2008;Li和Zhang,2013)。時至今日,無論是在研究區域差異與收斂性(Wang等人,2019)方面,還是在研究TFP的歷史水平及其影響因素(Sheng等人,2020)方面,一些與農業生產力相關的文獻中仍然沒有考慮環境因素。然而,環境可持續發展已成為當今中國高質量經濟增長的一條新路徑。在此過程中,可持續農業尤為重要??紤]到長期投資和污染已嚴重阻礙了中國綠色農業的發展(Fang等人,2021),越來越多的研究開始在衡量農業生產力時將環境因素納入評估體系,并研究如何在降低環境影響的同時提高農業生產力。
農業綠色生產力被認為是衡量農業經濟與環境的準確指標。它揭示了除投入要素外,在環境壓力下可持續增長的部分,并已被應用于許多研究中。Liu等人(2021)使用超效率松弛測度模型(Super Slack-Based Model,SBM)來估算考慮碳排放的中國綠色農業生產力(Green Agricultural Productivity, GAP)。Fang等人(2021)采用SBM-全局Malmquist–Luenberger(GML)指數,利用2002—2015年各省的面板數據來估算GAP。結果顯示,中國農業碳排放量呈倒U型趨勢,總體增長逐漸放緩。Chen等人(2021)采用三階段數據包絡分析(Data Envelopment Analysis, DEA)框架和SBM方法,分析了2000—2017年中國30個省份的實際GAP。此外,許多研究還將農業生產力分解為效率變化(Efficiency Change, EC)和技術進步(Technological Progress, TP)兩部分,并探討了農業生產力的構成和增長來源(Deng等人,2021;Jin等人,2010;Ma和Feng,2013;Rahman和Salim,2013)。
02、綠色農業生產力的影響因素
在衡量農業生產力時,許多研究也聚焦于其影響因素。改革開放后,中國農業生產力經歷了一段快速增長期(Gong,2018;Lin,1992)。一些研究認為,制度變革(Lin,1992;Zhang和Carter,1997)和高投入水平(Brown,1995;Lin,1992)是這一時期生產力增長的主要原因。然而,數年之后,家庭聯產承包責任制和雜交水稻推廣種植的積極效應逐漸耗盡(Lin,1992;Mead,2003)。投入的邊際產出也在持續降低,農業生產力增長開始放緩。從1984年到1987年,中國農業產量平均年增長率僅為4%,甚至低于1984年之前的水平(Ma和Feng,2013)。
通過將生產力分解為效率變化(EC)和技術進步(TP)兩部分,一些學者發現,在大多數省份,提高農業生產力的關鍵因素是技術進步,而生產效率卻在惡化(Jin等人,2010;Ma和Feng,2013)。眾多關于中國生產力增長的研究都證實了這一發現。他們的研究發現,公共研究投資回報率很高,且投資增加促進了技術進步(Deng等人,2021;Rahman和Salim,2013)。除了上述因素外,一些研究還關注了其他因素的影響,如作物保險(Fang等人,2021)、農村普惠金融(Hu等人,2021)以及人力資本(Wang等人,2021)。
03、互聯網發展效應
信息和通信技術(ICTs)在中國的動態擴展使人們意識到其對改善農村經濟狀況的重大影響。然而,由于發達國家與發展中國家之間的發展差距,盡管一些學者已探討了互聯網使用的不同回報(Li等人,2021;Ma等人,2020b),但很少有研究關注互聯網使用對農業綠色生產力的影響(Li等人,2020)。Chang和Just(2009)對臺灣省農民進行了調查,并得出結論認為互聯網可以增加農民收入。Ma等人(2020b)也證實了互聯網使用顯著增加了農村家庭的收入和支出。Zheng等人(2021)和Zhu等人(2021)則分別指出,使用互聯網對香蕉和蘋果生產的技術效率產生了積極影響。
鑒于上述內容,本文的研究具有以下三個重要貢獻。(1)據我們所知,這是第一項關于綜合互聯網發展對城鄉收入差距影響的研究。(2)我們分析了互聯網擴散對城鄉收入差距增長率的影響機制。選擇了適當的中介變量,并進行了計算分析。(3)農業綠色生產增長率的測量基于改進的共生生產模型,這是對該改進模型的一次實證應用。
理論分析
01、互聯網發展對綠色農業生產力的直接影響機制
1.1 互聯網的發展促進了信息的傳播
信息和通信技術(ICT)的發展促進了信息的傳播,因此被視為推動經濟增長和提高生產力的重要因素(Ma等人,2020a)。中國及其他發展中國家的農民需要獲取充足的信息和必要設施以改進其生產實踐。因此,及時且高質量地為偏遠地區的農民提供必要的知識和服務至關重要。過去,信息不對稱的限制使得小規模農業生產者難以進入市場并獲得收入。這也限制了他們學習和使用新技術與新設備。幸運的是,ICT的發展可以改善這一狀況。互聯網能夠減少信息不對稱,因為它在信息傳遞方面既迅速又廉價。許多研究已證實,ICT在向農民傳遞市場信息(Ogutu等人,2014)、農藥使用(Cole和Fernando,2012)、化肥使用(Kaila和Tarp,2019)、種子使用(Kiiza和Pederson,2012)以及土地管理(Hou等人,2019)等方面可以發揮關鍵作用。
過去,收音機和電視等通信設備使農民能夠獲取信息。然而,信息的單向流動使他們無法向農業部門和專家尋求問題解決方案(Aker,2011)。如今,具備通話和視頻功能的智能手機可以滿足大多數需求,并允許農民與服務提供者進行雙向溝通。智能手機是農民最容易獲取的通信設備,也是他們主要的信息交換渠道。中國通過手機上網的互聯網用戶比例高達99.6%(CNNIC)。智能手機利用率的提高有助于農民獲取更多市場信息,提高決策水平,并降低交易成本(Tadesse和Bahiigwa,2015)。在中國,使用智能手機在可持續農業中發揮了重要作用。智能手機幫助農民獲取生產資料(化肥、農藥和種子)、市場信息,提高生產效率,并減少農村貧困(Ma等人,2020a)。
隨著通信技術的普及,農業生產者可以使用越來越多的設備,如智能手機、平板電腦、筆記本電腦以及各種應用程序(“app”)。新設備的出現使信息獲取渠道更加多樣化。然而,如果農民缺乏與農業相關的信息來源,即使擁有智能手機和其他通信渠道,他們的決策和管理行為也不會得到顯著改善(Tadesse和Bahiigwa,2015)。因此,國家互聯網發展帶來的信息來源和數據量的增加也至關重要。
總之,ICT的發展為農業生產者提供了更多機會。農民可以更快地學習和應用最新技術和設備,根據市場需求和價格變化調整生產結構,通過獲取天氣信息來提高生產和銷售效率,并獲得更多保險和補貼政策以降低成本或損失。作物保險對于保護農業生產和減少經濟損失至關重要。與道德風險和逆向選擇相關,保險合同能夠促使減少農藥和化肥的使用(Mishra等人,2005)。這是減少化學投入品浪費和環境污染的有效途徑,從而產生更高的農業綠色生產力水平(Fang等人,2021)。
1.2 互聯網的發展促進了數字農業的發展
經合組織(OECD)、聯合國糧食及農業組織(FAO)和世界銀行等機構認為,數字農業能夠通過提高生產力和減少污染物來實現可持續發展目標?!皵底洲r業”運用人工智能、機器人和傳感器等新技術,通過物聯網(IoT)對農業生產系統進行管理(Lioutas等人,2021)。換言之,數字農業是通過融合云計算和物聯網技術,基于現代農業運營產生的大量農業數據而實現的(Rotz等人,2019)。工業革命后,數字農業從機械化生產轉變為數字化生產。數字農業鼓勵在農業生產中應用現有或正在發展的先進技術。
研究表明,通過為農民提供智能服務和數字產品,可以改善農場管理和提高效率(Lioutas等人,2019)。人工智能通過從大數據中提取關鍵信息并進行預測,增強了農民的決策能力(Wolfert等人,2017),幫助農民識別問題、確定因果關系,并提供更好的解決方案。例如,土壤傳感器可以提供施肥和灌溉方案(Johnson等人,2020);生物傳感器有助于檢測作物病蟲害(Yang,2020);無人機和衛星可以提供更準確的天氣波動數據(Goel等人,2021);機械化機器可以顯著提高生產力、降低勞動力成本并提高產品質量(Sparrow和Howard,2021)。數字系統的應用為農民節省了更多時間和精力來管理農場。
此外,數字信息跟蹤系統(如區塊鏈)可以提高消費者對所購買食品可持續性的認識(Kamilaris等人,2019)。Handford等人(2014)指出,納米技術提高了農業管理的精準度,使化肥和農藥的使用更加有效,從而減少了農業浪費。數字設備提供的信息可以幫助農民減少農業化學品的使用(Viani等人,2016),提高他們對生產活動對自然資源和環境影響的認識(Vilas等人,2020),并改善農業活動的廢棄物管理(Rejeb等人,2021)。因此,數字農業可能會減少農業對環境的影響,這對于改善良好農業規范(GAP)也具有重要意義。
1.3 互聯網的發展促進了電子商務的發展
在許多發展中國家,由于地理位置和交通條件限制,小規模農業生產者在銷售農產品方面面臨困難。發展中國家農村電子商務的出現和迅速擴張,為小農戶克服市場準入壁壘提供了一種新方法(Li等人,2021)。互聯網通信技術和電子設備(智能手機、筆記本電腦等)在農村地區的應用日益廣泛。過去幾年間,農村地區的電子商務普及率不斷提高。
農村電子商務符合農村產業轉型升級的要求,是利用互聯網和信息技術(ICT)獲取更多利潤的直接途徑,并為農村經濟振興提供了新動力(Peng等人,2021)。
首先,電子商務使農民能夠在線銷售產品,減少中間環節并降低交易成本。幾乎所有小規模農業生產者的交易成本都非常高(Poulton等人,2010)。因此,防止在線交易產品經過中間商可以有效降低交易成本。其次,電子商務有助于農村家庭改善信息不對稱問題。隨著市場信息更加透明,農民可以適當提高農產品的銷售價格,并提高市場效率(Aker,2010)。第三,電子商務可以打破地理限制,使農民能夠向全國各地的客戶零售食品(Tang和Zhu,2020)。Yu和Cui(2019)還發現,電子商務的應用使家庭能夠接觸到許多以前無法接觸到的客戶。因此,電子商務的采用鼓勵農民生產和分銷更多適合在線零售的商品。
盡管電子商務打破了地理限制,并允許農村家庭向更大范圍銷售農產品,但這也意味著市場競爭加?。═ang和Zhu,2020)。中國消費者的需求已從單純獲得足夠食物轉變為追求高質量產品。越來越多的消費者表現出更高的意愿購買綠色、無添加劑和無污染的產品。市場需求推動了供給側結構性改革,這對改善中國的良好農業規范(GAP)顯然具有重要意義(重點論述)。
02、互聯網發展對綠色農業生產力的間接影響機制
2.1 互聯網發展,增加收入與綠色農業生產力提高
農村電子商務對農村居民收入的積極貢獻已得到眾多研究(Li等,2021;Peng等,2021)的證實。Li等(2021)發現,運用電子商務的群體收入顯著高于未運用電子商務的群體。收入增長主要源于銷售額的提升。Luo和Niu(2019)對80個淘寶村的農戶數據進行了調查,其結果同樣支持上述結論,即農村電子商務對農戶收入具有顯著的正向影響。中國經驗明確表明,農村電子商務對農戶收入具有有益影響。2020年,832個貧困縣的網上零售額達到3014.5億元人民幣,年均增長26%。網上商戶總數達到306.5萬家,同比增長13.7%。
過去幾十年來,刺激農村經濟增長一直是中國政府關注的重點。增加收入是提高農村地區生活質量的基礎,因此已成為農業生產者擴大生產規模、提升產品質量、提高農業生產率的重要動力。收入增加將有助于提高農民的消費水平。隨著電子商務的發展,農業生產者在開展農業生產時將擁有更雄厚的資金實力和更廣闊的消費平臺,以購買和使用更好的材料或先進設備。投入水平的進一步提高將進一步改善產品質量、提高生產率、增加收入,形成良性循環,這對提升農業綜合生產能力具有重要意義。
2.2 互聯網發展,人力資本與綠色農業生產力提高
廖奧和Liu(2006)證明,農村人力資本在互聯網及信息通信技術(ICT)的應用中至關重要。他們發現,較富裕國家通信技術對農業生產的回報率大約是較貧窮國家的兩倍。人力資本的差異似乎是造成最貧窮國家信息通信技術生產率彈性較低的原因。盡管我們已知電子商務的興起為農村經濟發展帶來了新機遇,但在許多發展中國家,電子商務的采用率仍然非常低。教育水平低、對電子商務優勢缺乏認識以及農村信息通信技術基礎設施落后等因素,限制了電子商務在農村家庭中的應用。特別是,對在線業務及其功能缺乏了解,限制了農民采用電子商務并從中受益(阿里研究院,2017)。
一些近期研究表明,隨著電子商務在中國農村的普及,農業生產者的人力資本也得到了提升(Fafchamps和Minten,2012;Chan,2015)。一般來說,農民在使用電子商務前需要接受培訓。有能力的農民可以利用電子商務平臺開設網店銷售產品,其他農民也可以在實踐后參與相關工作(Peng等,2021)。
農業推廣服務是政府向農民傳授信息、提供援助、推廣新技術和新做法以及促進農業發展的重要工具(Anderson和Feder,2004)。過去,廣播和電話等通信方式使得農業推廣服務非常有限,阻礙了農村人力資本的發展。在信息時代背景下,信息來源的增加和通信設備的多樣化使得這一計劃得以更好地實施。此外,農民獲取知識的難度大大降低。互聯網在減少農村教育落后方面發揮了作用。進一步而言,知識水平的提高意味著農民可以應用更先進的農業生產理念和數字農業設備。這有利于提高農業生產率。
2.3 互聯網發展,物流發展與綠色農業生產力提高
我們已知電子商務的應用能夠帶來巨大效益。得益于電子商務,各類產品得以在世界市場上流通。在中國農村,傳統上在線銷售的產品包括草藥、水果和茶葉等農副產品。但除了這些產品外,我們還能找到服裝、家具和書籍等加工后的非農產品(Tang和Zhu,2020;Zeng等,2019)。然而,需要注意的是,與電子商務相關的基礎設施,包括物流、網絡基礎設施、道路建設等,是線上業務發展的關鍵支撐(Li等,2021)。在線產品的多樣化離不開多種線下物流和配送方式的支持。在印度、巴西和越南等發展中國家,相對落后的設施阻礙了農村地區電子商務業務的發展(Jamaluddin,2013)。
隨著農村電子商務規模的不斷擴大,對物流的要求也越來越高。需要更高效的集散物流網絡。中國農村地域遼闊,人口眾多??爝f往往需要運輸數千公里,但成本卻很低。因此,共享經濟被視為更好地發展物流資源配置的一種極佳方式,尤其適用于中國農村地區(Yang等,2020)。為此,在鄉村振興計劃中,中國政府強調建立共享物流網絡的重要性,并鼓勵物流公司之間的合作以提高效率。此外,中國政府發布的其他多項文件,如《城鄉高效配送專項行動(2017-2020年)》,都將共享物流建設視為農村物流發展的主要要素。
此外,良好的物流基礎是建設更完善的道路系統。2020年6月,中國最后一個不通公路的有機村實現了通車。“要想富,先修路?!边@句每個中國人都耳熟能詳的口號,正是農村經濟建設的工作思路。在2013年至2017年的五年間,政府在農村公路建設上投資了4000億元,修建了127萬多公里的農村公路。覆蓋了5800多個貧困地區,24個省的所有鄉鎮和行政村都實現了通車。
2.4 互聯網發展,產業融合與綠色農業生產力提高
近年來,一些來自偏遠貧困村莊的人通過售賣家鄉特產或展示家鄉文化,成為了網絡紅人(Peng等,2021)。他們在家鄉產品的線上銷售以及家鄉文化和自然風光的推廣方面提供了重要幫助,這也助力了家鄉旅游業的發展。在數字經濟時代,隨著互聯網等新興技術的不斷發展,農村旅游業正日益走向智能化和數字化。
國家發展和改革委員會宣布,將大力推廣“互聯網 +”創新模式。利用互聯網發展農村旅游等具有巨大就業潛力且社會急需的服務領域。
“互聯網 + 農村旅游”主要依托互聯網信息平臺,整合分散的農村旅游資源,加強線上推廣和數字化賦能,推動農村旅游領域的多元化創新創業。將休閑、娛樂和文化創意與農村旅游、民俗文化和現代農業緊密結合。在積極發展農村旅游新模式的同時,也促進了現代農業的發展。目前,中國大部分農村旅游項目都讓游客能夠體驗到水果和蔬菜采摘、采茶、騎馬等獨特活動。一方面,這種體驗拉近了游客與農村生產的距離;另一方面,也讓消費者能夠品嘗到當地高品質的農產品。旅游業的發展也促進了農業的發展。
方法和數據
01、綠色農業生產力指標及其分解
經濟活動通常具有負外部性,在生產過程中會產生污染。近年來,相關研究愈發關注環境保護和綠色可持續發展。參數估計和非參數估計可用于衡量構建環境生產率指數的距離函數,以進行宏觀或微觀績效分析。
本文采用非參數的DEA(數據包絡分析)模型和方向性距離函數來評估中國的綠色全要素生產率(Green Aggregate Productivity,簡稱GAP)。該框架被廣泛應用于評估宏觀層面的效率變化和生產率增長(Rath和Akram,2017;Shen等人,2021)。
本文將非期望產出納入生產過程。弱可處置性公理(Shephard,1970;Shephard和Fare,1974)以及零聯合性(Fare和Grosskopf,2004)常用于關聯良好產出和不良產出,允許兩種產出按比例減少。然而,當非期望排放物易于控制時,這種方法并不適用。例如,二氧化硫排放物可以完全溶于水。隨后,Murty等人(2012)提出了一種基于強可處置性和高成本可處置性假設的副產品模型,該模型將污染生成過程分離出來,并允許對污染進行完全處理。這種方法假設存在兩種獨立的子技術,一種子技術(T1)用于模擬由所有投入產生的理想產出,另一種子技術(T2)用于分析非期望產出和產生污染的投入。
假設有K個決策單元(DMU)被評估,生產可能性集合包含Q + P種產出和C + D種投入。就產出而言,有Q種期望產出和P種非期望產出(或副產品)。就投入而言,C種清潔(不產生污染)投入僅對期望產出有貢獻,而D種污染(產生污染)投入則對期望產出和非期望產出均有貢獻。更具體地說,設xc∈?C+和xd∈?D+分別為清潔投入和污染投入的向量;設y∈?Q+和z∈?P+分別為期望產出和非期望產出的向量。那么,副產品技術可定義為(Murty等人,2012):
其中,f(·)和g(·)分別是滿足強可處置性和高成本可處置性的連續可微函數。Chambers等人(1996a)引入了方向性距離函數(DDF)來評估決策單元(DMU)的效率。更準確地說,方向性距離函數衡量了被評估的決策單元與其基準或最佳表現(生產前沿面)之間的差距。一個包含投入、良好產出和不良產出的一般方向性距離函數框架可以定義為:
其中,δ 是衡量潛在投入減少量、潛在期望產出增加量或潛在非期望產出減少量的無效率得分。(gx, gy, gz) 是一個非負方向向量,通常由被評估決策單元(省份)的投入/產出數量水平來定義。在本文中,我們采用面向產出的方向性距離函數(DDF),因此上述基本公式可相應修改為:
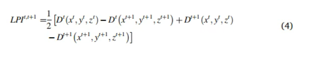
距離函數的組合可用于定義生產率指數。例如,Malmquist指數是一種基于比率構建的衡量指標,由Shephard距離函數構成;Luenberger指標則是一種基于差異的生產率衡量方法,采用方向性距離函數(DDF)。在本文中,我們采用面向產出的Luenberger生產率指標(LPI)來衡量t時期和t+1時期的綠色增長(Chambers等人,1996b;Chambers,2002),具體如下:
根據Chambers等人(1996b)的研究,Luenberger指標可分解為兩個組成部分:效率變化(EC)和技術進步(TP)。效率變化(EC),通常被稱為追趕效應(技術無效率的降低),衡量的是被評估決策單元(DMU)與生產前沿面之間差距隨時間的變化。這意味著,如果投入能夠得到更有效的利用,那么該部分是可以得到改善的。技術進步(TP)則表示由于技術創新或組織變革導致的從t時期到t + 1時期生產前沿面的變化。其測量可以通過使用與兩個時期相關的各種數據組合以及參考技術來估計四個不同的距離函數值而實現。生產率增長的分解可概括如下:
以往所有方向性距離函數均是基于產出導向進行定義,并采用非參數方法進行測量。本文采用Balezentis等人(2021)提出的具有污染投入單一影子價格(對偶價格)的模型。測量方向性距離函數的詳細線性規劃模型見附錄1。
02、估計策略
2.1 面板數據模型
為衡量互聯網發展水平,部分研究收集了諸如網民數量和互聯網普及率等不同變量(Lum,2009;Jiang,2010)。然而,包括上述指標在內的一些單一維度指標,無法反映中國互聯網發展的整體情況。因此,有必要構建一個綜合的多維度指標來解決這一問題。基于現有的且可獲取的官方統計指標和數據,Wu等人(2021)從互聯網設施與設備、互聯網產業發展、互聯網商業應用、互聯網發展環境四個方面對中國各省份的互聯網發展情況進行了分析,并構建了一個綜合指標來代表互聯網發展水平。我們將這一綜合指標作為核心解釋變量,并選取各省份的農業金融投入(Chen等人,2021;Hu等人,2021;Xu和Lin,2017)、農業受災率(Fang等人,2021)以及工業化水平(Fang等人,2021;Hu等人,2021)作為控制變量。
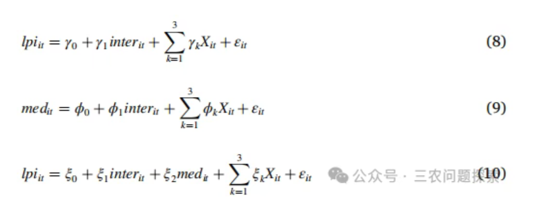
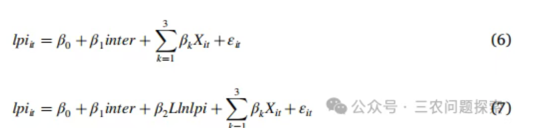
根據上述變量,我們將基本模型設定為以下公式(6)。在選擇計量經濟學方法時,我們首先采用混合普通最小二乘法(OLS)對未添加任何其他條件的面板數據進行處理。然后,考慮到不同省份的異質性和變量本身的時間趨勢,我們采用了固定效應(FE)模型。同時固定了省份和時間。此外,鑒于隨機誤差項可能導致內生性問題,并使實證檢驗產生偏差和不一致,我們采用工具變量模型和二階段最小二乘法(2SLS)來解決這一問題。最后,考慮到農業生產的滯后性,我們在上述模型中加入了LPI的一階滯后項,并使用系統廣義矩估計(system-GMM)來處理動態面板模型。
基本模型和動態面板模型如下:
其中,i 表示省份,t 表示年份,lpi 表示 LPI(某具體指標或指數,此處保留英文),L.lpi 表示滯后一期的 lpi,inter 表示互聯網發展水平,X 表示一系列控制變量,εit 表示隨機誤差項。
2.2 機制檢驗
在第三節中,我們從收入增加、人力資本、物流發展以及產業融合這四個方面分析了互聯網發展是否影響LPI(某具體指標或指數,此處保留英文)。為檢驗互聯網能否通過農民收入、人力資本、物流發展以及產業融合這四個途徑來提升省級LPI,依據Wu等人(2021)的研究,構建中介效應模型如下:
其中,medit為中介變量。公式(8)、公式(9)以及公式(10)共同構建了中介效應模型。
2.3 非線性關系的驗證
在上述章節中,我們分析了互聯網發展通過收入增加、人力資本、物流發展以及產業融合對LPI(某具體指標或指數,此處保留英文)增長的影響程度。然而,過去十年間,中國的互聯網發展,尤其是農村地區的互聯網發展,并非一蹴而就。其對LPI的影響可能存在非線性效應。為此,我們選取了與農村互聯網發展相關的三個指標,即農村郵政投遞路線、快遞業務量以及互聯網端口數量,作為門檻變量來檢驗這種非線性關系。Hansen(1999)引入了門檻面板模型來實證檢驗這種非線性關系,其定義如下:
其中,δit為門檻變量;ω為待估計的門檻值;I(?)為指示函數。
3、數據描述
數據包含兩部分,且兩部分數據均來自中國30個省份的面板數據。第一部分數據采用1997年至2019年的數據來計算LPI(某具體指標或指數,此處保留英文);第二部分數據采用2007年至2017年的數據來考察互聯網發展對LPI增長的影響。除Wu等人(2021)提供的綜合互聯網發展數據外,其他數據均來源于《中國統計年鑒》和國家統計局(CNBS)官方網站。鑒于數據可得性,本文未納入西藏、香港、澳門和臺灣地區的數據。在第二部分的計算中,為避免價格波動的影響,各省份與價格相關的數據均以2007年為基期進行了平減處理。為消除異方差性的影響,所有數據均采用對數形式進行處理。綜上所述,各變量的描述性統計結果如表1所示。
結論和政策建議
以綠色生產率增長作為因變量,基于2007年至2017年中國30個省份的面板數據,本文研究了互聯網發展對中國綠色農業增長的影響。實證分析從中介效應和門檻效應兩個方面展開。本文證明,信息與通信技術(ICT)已成為中國農村地區綠色增長的主要驅動力。主要結論如下:
首先,在過去二十年中,中國的LPI(某具體指標或指數,此處保留英文)經歷了“快速-放緩-快速”的增長過程??傮w而言,與過去相比,LPI有了更大程度的提升。此外,分解后的結果表明,技術進步(TP)是LPI增長的主要來源,而效率變化(EC)甚至產生了負面影響。
其次,中國ICT的發展對LPI的增長產生了積極影響。并且,這一結果在我們所進行的各種測試中均表現出穩健性。此外,互聯網的發展可以通過促進收入增加、人力資本提升、非農產業發展以及物流基礎建設來間接影響LPI。
最后,門檻回歸結果證明,互聯網發展對LPI的影響是非線性的。
為了更好地理解互聯網發展在促進LPI增長和農村經濟發展中的作用,本文提出以下政策建議:
首先,應提高對促進農業綠色發展的關注和重視程度。LPI是衡量農業和環境績效的準確指標。目前LPI的表現不佳,有必要從多個角度提高各部門對農業綠色發展的關注。提高農業生產者的綠色生產意識,在制度層面構建綠色生產理念,并加速綠色生產技術的創新與應用。
其次,應提高資源利用效率并優化資源配置。從計算結果來看,EC對LPI增長的貢獻較低甚至為負,這表明資源利用水平較低。一方面,有必要提高全國范圍內的資源利用效率。在確保糧食生產的前提下,應盡可能降低投入水平。另一方面,中國地域遼闊,各地區要素稟賦差異較大。地區間資源分配的不平衡和不協調需要得到改善。
第三,應提高農村勞動力質量以滿足新型經濟模式的需求。鑒于農業勞動力質量有待提高的問題,一方面,應通過改進培訓方法和強度以及長期監測和評估來提高培訓質量。另一方面,鑒于這一問題無法一蹴而就地解決,且存在兼職和農業老齡化現象,農業社會化服務體系仍然發揮著重要作用。雖然提高工人技能水平看似至關重要,但也有必要進一步完善農業社會化服務體系以應對當前形勢。
第四,應根據各地區農村產業的特點和發展情況,促進產業融合發展。將農業資源與第二、三產業相融合,在農業生產、產品加工、休閑旅游等方面發展特色新型產業模式。合理利用農村地區的各種資源,創新產業模式以滿足新的社會和經濟發展要求,并實現不同產業之間的優勢互補和共贏合作。創造更多收入以促進農村LPI的增長。
最后,基于以上所有建議,政府需要進一步完善政策支持體系。由于綠色生產的要求與過去傳統農業的行為和目標不同,政府更有必要積極引導和支持這一轉型過程。有必要為農業生產者提供各種綠色生產補貼,并鼓勵農民積極節約資源和減少污染。加強監管并逐步提高農產品的質量要求。同時,要意識到山區面臨的困難并改善道路和通信等基礎設施。通過促進產業融合,主要關注農業發展和農村經濟振興。
圖表剖析
01、圖
圖1. 機制分析
圖2. 累積綠色生產率增長及其分解。
圖3. 閾值變量的閾值
02、表
表1.描述性統計
表2.30省結果
表3.面板回歸結果
表4.弱工具變量檢驗結果
表5.機制檢驗結果
表6.閾值模型檢驗
表7.閾值和置信區間
表8.閾值面板估計結果
表9.穩健性檢驗結果
文獻來源:Shen, Z., Wang, S., Boussemart, J. P., & Hao, Y. (2022). Digital transition and green growth in Chinese agriculture. Technological Forecasting and Social Change, 181, 121742.
更多干貨、市場分析、重磅案例、實戰課程歡迎訂閱 [農業行業觀察]公眾號:nyguancha
相關文章
文章:10880 篇
瀏覽:37195 次
【考證】第7期鄉村振興管理師招生火熱招生,線上..
鄉村振興新范式:整村運營,不只是網紅村的流量..
【智慧農業】趙春江院士:農業大模型與知識服務..
干貨梳理!不知道如何打造農業品牌?附6個切入點..
十五部門聯合發文:推進智慧農業管理成熟度認證..
鄉村振興農村一二三產業融合發展的內涵、做法及..
2025第四屆數字農業發展大會暨數字農業分會換屆..
【鄉村振興案例】牛欄江鎮水海村如何巧用“一二..
【縣域農業】湖南?。哼\用“四大法則” 加快湖南..
【農資賽道】農資行業未來發展的五大趨勢!..
重磅政策!“十五五” 時期我國農業與農村發展規..
聚焦農業科技!第四屆“金扁擔”農業現代化論壇..
【預制菜】預制菜公司如何招商?“5張招商圖譜”..
中化化肥品牌煥新發布:鑄就作物營養健康引領者..
松洋壓縮機閃耀2025冷暖峰會,展現產品創新硬實..
【預制菜】預包裝食品數字標簽來了!一目了然更..
【智慧農業】智能無人機將解決“三農”三大痛點..
種地也要高科技!土壤傳感器開啟農業精準種植新..
【鄉村產業】“土特產”如何做成大產業?8大方向..
天域航通:30倍增長書寫東北農業新篇 新疆基地鑄..
AI賦能農業發展向“新”提“質”,中國移動助推..
農資行業商業模式揭秘:不靠賣農資產品,靠會員..
【智慧農業】智慧農業創業:20+條創新商業模式推..
【農業案例】農業創業中的5個坑,農民看過后,選..
恭喜新疆缽施然智能農機股份有限公司榮獲2024年..
農村電商僅剩下農產品直播,未來還將如何發展..
新年特刊!100多個特色農場的經典案例,都非常有..
數字農業創新典型案例——淘菜菜、京東農場..
如何打造更賺錢的“無人農場”?
【預制菜】重磅分析!我國預制菜出海的趨勢與特..